わさっきhb

大学(教育研究)とか ,親馬鹿とか,和歌山とか,とか,とか.

2015-10-16から1日間の記事一覧

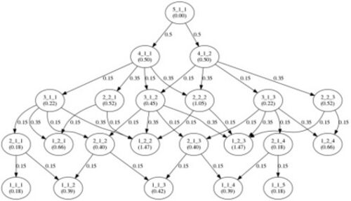
組体操・人間ピラミッドの荷重計算をRubyで

組体操で,人が乗ることによってかかる荷重を計算するRubyスクリプト,gfload.rbを作成しました.ソースはgistよりご覧ください.ソースファイルといくつかの出力(テキストおよび画像)をzipにして,http://d.hatena.ne.jp/takehikom/files/gfload.zip?d=do…